Verfahren zur direkten Umsetzung von Methan mit SO3 zu Methansulfonsäure

Andreas Schran, Prof. Dr. Mathias Seifert

Fast vollständige Ausbeuten

mit neuartiger Aktivierung

Der vorliegende Beitrag ist der leicht überarbeitete und nur wenig erweiterte Projektbericht aus dem Teilmodul „Literatur- und Patentrecherche“ des berufsbegleitenden Studiengangs „Industriechemie (B.Sc.)“ an der Hochschule Fresenius, Idstein. Zielstellung ist dabei eine kompakte und sinnvoll gegliederte Ausarbeitung (mit ca. 1000 – 1500 Wörtern) über ein vorgegebenes Recherchethema, die unter Nutzung verschiedener Datenbanken Gebrauch macht von allerlei Arten von Quellen für die spezifische Beantwortung der Recherchefragen. Die Angabe der Quellen und andere Formalia (Beschriftung von Abbildungen, Tabellen etc.) sollen den Vorgaben für wissenschaftliche Arbeiten entsprechen. Diese Aufgabe stellt eine erste anspruchsvolle Vorbereitung zur Bewältigung der anstehenden Bachelorarbeit dar.

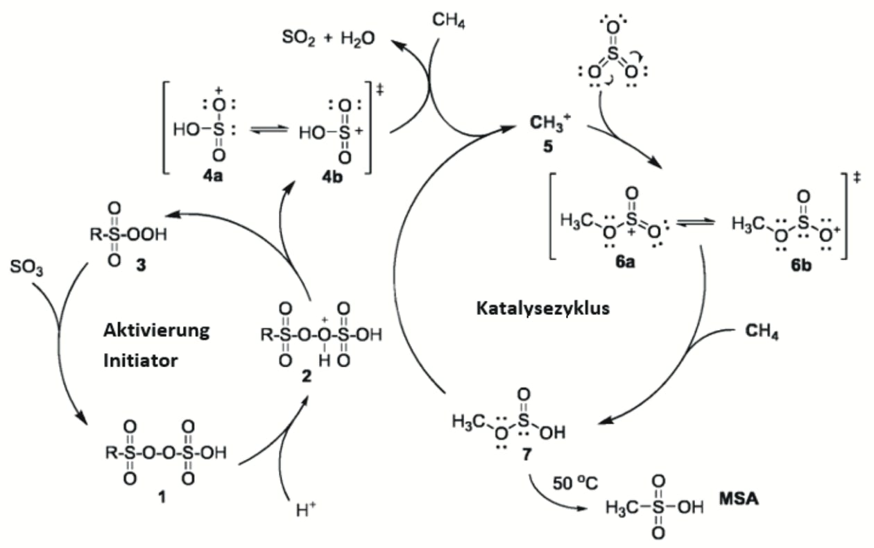
Vorgeschlagener kationischer Reaktionsmechanismus: Von der Aktivierung des Initiators (1) über die reaktiven Spezies (4a/4b), welche den katalytischen Zyklus einleiten, bis hin zur Umlagerung von Methylhydrogensulfit (7) zu Methansulfonsäure MSA.

© 2024 Rolf Kickuth zurück zur Startseite