Neue Methoden für chemische Synthesen

Autor: RK

Chemische Synthesen sind die Realisierung von Träumen der Chemiker, die neue Konstellationen von Atomen in Molekülen vor Augen haben. Seit langem gibt es dafür Standardreaktionen. Sind diese nicht zielführend bzw. zu teuer oder zu wenig umweltverträglich, ist der Einfallsreichtum von Chemikern gefragt. Dabei werden die Forscher immer mehr von Computersimulationen und Methoden künstlicher Intelligenz unterstützt. Dieser Artikel stellt eine Auswahl neuester Methoden vor.

Substanzen: Synthesen

Ungewöhnliche Konzepte

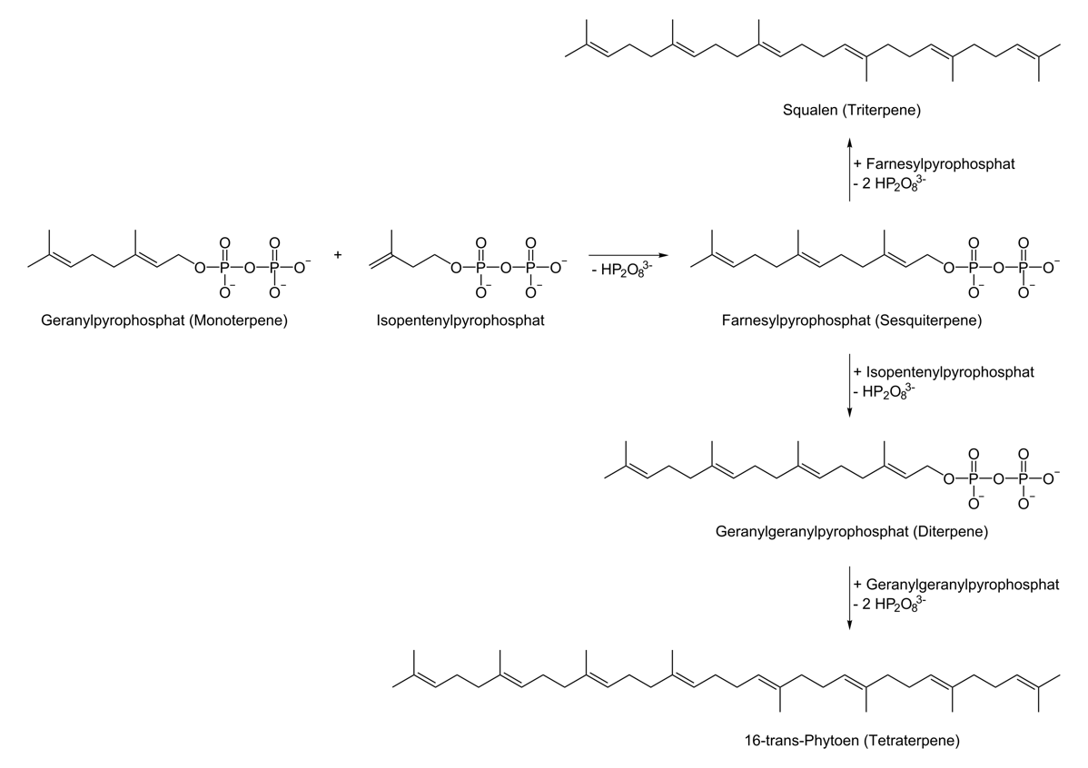
Ein zentraler Baustein in der Biosynthese von Terpenen ist das Dimethylallylpyrophosphat (DMAPP) und sein Doppelbindungsisomer Isopentenylpyrophosphat (IPP). Beide Bausteine enthalten fünf Kohlenstoff-Atome und eine Doppelbindung und können als aktiviertes Isopren aufgefasst werden. Die Farnesylpyrophosphatsynthase verknüpft ein Molekül DMAPP und zwei Moleküle IPP zum Farnesylpyrophosphat (FPP), das das Grundgerüst der cytosolischen Sesquiterpene ist. Aus zwei Einheiten Farnesylphosphat entsteht das Squalen (Squalensynthase), das Grundgerüst der Triterpene. Die plastidäre Geranylgeranylpyrophosphatsynthase verknüpft ein Molekül DMAPP mit drei Molekülen IPP zum Geranylgeranylpyrophosphat (GGPP), dem Grundgerüst der Diterpene. GGPP kann wiederum zum 16-trans-Phytoen reagieren, dem Grundgerüst der Tetraterpene. 

© 2023 Rolf Kickuth zurück zur Startseite